Feature Review
The Role of Gut Microbiota in Modulating Ginseng Pharmacokinetics and Pharmacodynamics 
2 Traditional Chinese Medicine Research Center, Cuixi Academy of Biotechnology, Zhuji, 311800, Zhejiang, China
Author
Correspondence author
Medicinal Plant Research, 2025, Vol. 15, No. 4 doi: 10.5376/mpr.2025.15.0018
Received: 20 May, 2025 Accepted: 22 Jun., 2025 Published: 20 Jul., 2025
Dong Z.Y., and Huang B.F., 2025, The role of gut microbiota in modulating ginseng pharmacokinetics and pharmacodynamics, Medicinal Plant Research, 15(4): 169-177 (doi: 10.5376/mpr.2025.15.0018)
Ginseng (Panax spp.) is a most widely employed traditional Chinese medicine herb, valued for its multiradical pharmacological actions, including immunomodulatory, anti-inflammatory, neuroprotective, and anticancer activities. However, the pharmacokinetics (PK) and pharmacodynamics (PD) of ginseng are highly individualized in humans, mainly regulated by gut microbiota. Increasingly, evidence shows that gut microbiota plays a crucial role in the metabolism and biotransformation of ginseng constituents, particularly ginsenosides, through their transformation into bioactive metabolites such as Compound K, thereby enhancing absorption and bioavailability. Gut microbiota is also involved in regulating the pharmacological effects of ginseng, including immune function regulation, oxidative stress modulation, gut–brain axis communication, and anticancer activities. Emerging advances in multi-omics and systems biology approaches, such as metabolomics, metagenomics, and network pharmacology, have cumulatively improved our understanding of the microbe–ginseng interaction network. Differences in composition of gut microbiota among individuals are responsible for significant differences in ginseng efficacy, and population stratification, precision medicine, and microbiota-guided intervention could all become choices to improve clinical effects. Besides, integrating ginseng therapy with probiotics, prebiotics, and microbiota modulators is promising to enhance therapeutic effects and ensure safety. This review comprehensively summarizes the regulatory function of gut microbiota in ginseng PK and PD, demonstrating its importance in personalized herbal medicine and translational uses in the future.
1 Introduction
Ginseng (Panax spp.) is one of the best-known and best-established of the traditional Chinese medicines (TCM) and has been officially considered an elite tonic for millennia. Their bioactive ingredients, particularly ginsenosides, possess diverse pharmacological actions including immunomodulatory, anti-inflammatory, neuroprotective, antioxidant, and antitumor activities. Clinically, ginseng and its products are extensively utilized in the treatment of fatigue, metabolic syndromes, cardiovascular illness, neurological diseases, and adjuvant therapy for cancer therapy. Its multifaceted uses reflect its pharmaceutical potential and increasing inclusion in contemporary global healthcare systems (Iqbal et al., 2024).
Pharmacokinetics (PK) and pharmacodynamics (PD) are fundamental to the understanding of TCM medicines such as ginseng's therapeutic effects and safety. PK characterizes the absorption, distribution, metabolism, and excretion of active constituents, whereas PD characterizes their effect in terms of biological activity and dose–response. Given the structural complexity of ginsenosides and their generally poor oral bioavailability, PK and PD understanding becomes essential in elucidating mechanisms of action of ginseng, optimizing its clinical effectiveness, and optimal dosage and formulation design (Chen et al., 2022).
The recent advances in microbiome science have revealed the gut microbiota as a critical regulator of the efficacy of herbal medicine. The gut microbiota not only transforms ginsenosides into more bioactive and bioavailable metabolites, such as compound K, but also regulates host signal transduction pathways, immune responses, and system pharmacology effects. Also, inter-subject variation in gut microbial composition is a principal factor contributing to PK and PD response variability, responsible for variability in the efficacy of ginseng between populations (Zhao et al., 2023).
This review presents an integrative overview of the recent literature concerning gut microbiota modulation of ginseng pharmacokinetics and pharmacodynamics. It emphasizes microbial transformation of ginsenosides, mechanistic connections between gut microbial metabolism and ginseng pharmacological activity, and implications for personalized medicine. By integrating data from pharmacology, microbiology, and systems biology, this review presents the significance of gut microbiota as a key factor in optimizing ginseng's therapeutic effect and opening the door to its modern clinical use.
2 Major Active Components of Ginseng and Their Pharmacokinetic Characteristics
2.1 Structural features and metabolic stability of ginsenosides
Ginsenosides are dammarane type triterpene saponins, mostly categorized as protopanaxadiol (PPD) and protopanaxatriol (PPT) types depending on aglycone structures. The metabolic stability is markedly influenced by the site and number of sugar moieties bonded to the aglycone. Compounds with more residues of sugar are less permeable in membranes and bioavailable, leading to poor oral bioavailability. After oral delivery, the ginsenosides undergo comprehensive biotransformation, primarily deglycosylation by gut microflora, to the metabolites such as compound K with improved bioactivity and bioavailability. Ginsenoside pharmacokinetics is also mediated by drug-metabolizing liver and intestinal liver and intestine transport proteins and interaction with other medications for their efficacy and bioavailability (Won et al., 2018; Ratan et al., 2020; Liu et al., 2024).
2.2 Digestion, absorption, and bioavailability of ginseng polysaccharides
Ginseng polysaccharides are high-molecular-weight carbohydrate molecules with strong immunomodulatory, antioxidant, and anti-inflammatory activities. They are size- and structural complexity-constrained to intestinal absorption. Rather, they were partially degraded by gut flora into oligosaccharides and monosaccharides small enough to be absorbed and form systemic actions. Structure–bioactivity correlation is such that uronic acid-containing polysaccharides and specific glycosidic linkages (e.g., α-(1→4)-GalpA) are responsible for their biological activities. Polysaccharide fraction was more immunomodulatory and antiviral in experimental animal models compared to saponin fractions (Hyun et al., 2020; Ji et al., 2020; Park, 2024).
2.3 Pharmacokinetic characteristics of other active components
Non-saponin constituents such as volatile oils, polyphenols, peptides, and alkaloids also make a contribution to the pharmacology of ginseng. Volatile oils and polyphenols are more lipophilic overall, and consequently enjoy greater membrane permeability and absorption than do ginsenosides and polysaccharides. Owing to their metabolism and excretion that occurs so quickly, however, their half-lives are typically brief. Peptides and proteins, in low concentrations, have shown defined bioactivities, such as radioprotective and metabolic-modulating effects, but are poorly understood pharmacokinetically due to sensitivity to enzymatic digestion in the gastrointestinal tract (Hong et al., 2020; Dong, 2024).
3 Regulatory Effects of Gut Microbiota on the Pharmacokinetics of Ginseng
3.1 Transformation of ginsenosides by gut microbiota
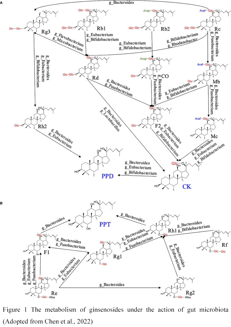
When they are taken orally, the hydrophilic ginsenosides from ginseng are poorly absorbed in their native forms. Gut microflora, particularly such genera as Bacteroides, Eubacterium, and Bifidobacterium, enzymatically metabolize these ginsenosides through deglycosylation. Protopanaxadiol-type ginsenosides like Rb1, for example, are metabolized to more hydrophobic and active metabolites like compound K and ginsenoside Rh2, whereas protopanaxatriol-type ginsenosides are metabolized to Rh1 and protopanaxatriol. These metabolites possess significantly enhanced pharmacological activities, including antitumor, anti-inflammatory, and neuroprotective activities, compared to their parent drugs (Kim, 2017; Zhao et al., 2021).
3.2 Impact of gut microbiota on absorption and bioavailability of ginseng components
Gut microbiota-mediated conversion of ginsenosides increases their membrane permeability and systemic absorption, and hence their bioavailability. The density and presence of dominant bacteria have a direct effect on the efficiency of ginsenoside conversion and its downstream absorption. Gut microbiota can also modulate the intestinal environment, which can influence the intestinal absorption of ginseng-derived metabolites. Under conditions where there is no action of gut microbiota, metabolic profiles and absorption of ginsenosides are significantly minimized, as in pseudo-germ-free animal models (Chen et al., 2022; Wang et al., 2023).
3.3 Inter-individual differences in gut microbiota and their influence on ginseng metabolism
There is significant inter-personal difference in the metabolic status and metabolic activity of gut microbiota, leading to difference in the magnitude and rate of ginsenoside conversion. Individuals with higher amounts of certain bacteria like Bifidobacterium animalis have higher capacities to convert ginsenosides to active forms like compound K. This heterogeneity results in pharmacokinetic profiles and therapeutic activity of ginseng that is heterogeneous in individuals, requiring individualized approaches towards the use of ginseng supplements (Dong et al., 2017; Seong et al., 2021; Chen et al., 2022) (Figure 1).
|
Figure 1 The metabolism of ginsenosides under the action of gut microbiota (Adopted from Chen et al., 2022) |
4 Influence of Gut Microbiota on the Pharmacodynamics of Ginseng
4.1 Gut microbiota involvement in immunomodulatory effects
Ginseng and its polysaccharides modulate the immune function by adjusting gut microbiota balance, stimulating beneficial flora such as Bifidobacterium and Lactobacillus, and restoring immune homeostasis. These changes induce anti-inflammatory cytokine and immunoglobulin production and the improvement of gut barrier function, thereby improving systemic immune regulation (Li et al., 2019; Wang et al., 2021; Zhou et al., 2025).
4.2 Microbiota-mediated regulation of anti-inflammatory and antioxidant activities
Gut microbiota hydrolyzes ginsenosides into compounds that have improved anti-inflammatory and antioxidant activities. They suppress inflammatory signaling, restrict oxidative stress, and modulate cytokine secretion. Ginseng polysaccharides also correct autophagic activity and inhibit NF-κB signaling and thereby mediate intestinal and systemic anti-inflammatory effect (Kim, 2017; Ren et al., 2022).
4.3 Gut–brain axis mechanisms in neuroprotection and cognitive improvement
Ginseng interacts with the gut–brain axis through remodeling the gut microbiota, increasing the relative abundance of beneficial taxa, and changing microbial metabolites such as short-chain fatty acids and tryptophan derivatives. This change suppresses neuroinflammation, enhances antioxidant defense in brain tissue, and improves cognitive function and neuroprotection, as reported in aging and stress models (Iqbal et al., 2024; Lin et al., 2024).
4.4 Antitumor effects and synergistic roles of microbial metabolites
Gut microbiota-catalyzed conversion of ginsenosides yields metabolites such as compound K, which possess strong antitumor activity. Ginseng polysaccharides may also enhance the antitumor effects of immunotherapies (e.g., anti-PD-1) by regulating microbial metabolites and suppressing immunosuppressive factors, resulting in increased tumor inhibition and therapeutic efficacy (Kim, 2017; Huang et al., 2021; Zhou et al., 2021).
5 Applications of Multi-Omics and Systems Biology Approaches
5.1 Metabolomics for analyzing ginseng metabolites and microbiota-derived co-metabolites
Metabolomics provides the capability of detecting and quantifying metabolites of ginsenoside and co-metabolites produced by microbiota in biological samples. For example, through carrying out microbiome-metabolomics analysis, co-administration of ginseng polysaccharides and ginsenosides was found to restore gut microbiota balance and alter fecal metabolites associated with immunometabolism and gut-barrier integrity, including uric acid, xanthurenic acid, and numerous lysophospholipids. These results emphasize the utility of metabolomics in connecting particular metabolic alterations to therapeutic responses and gut microbial modulation (Liang et al., 2021; Zhou et al., 2021).
5.2 Metagenomics and transcriptomics for revealing functional genes and pathways of gut microbiota
Metagenomics and metatranscriptomics provide global views of gut microbiota gene functional expression and taxonomic structure. These approaches have been used to identify dominant bacterial phyla and functional pathways of ginsenoside transformation, immunomodulatory activities, and metabolic well-being. For instance, 16S rRNA sequencing and metagenomics have proven that ginseng treatment increases beneficial bacteria and functional genes that are in charge of the production of short-chain fatty acids and immune modulation (Daliri et al., 2021; Huang et al., 2021; Duan et al., 2025).
5.3 Network pharmacology of microbe–drug interactions
Network pharmacology integrates multi-omics information to reconstruct complex interactions between ginseng compounds, gut microbiota metabolites, and host targets. This approach rationalizes ginseng and gut microbiota synergistic efficacy, predicts therapeutic efficacy, and discovers biomarkers for precision medicine. Systems biology models and network analyses have been proposed to disclose multi-layer interactions and guide precision medicine approaches in ginseng research (Daliri et al., 2021; Chen et al., 2022; Chetty and Blekhman, 2024).
6 Individual Differences and Clinical Significance of Ginseng–Microbiota Interactions
6.1 Gut microbiota differences as explanations for variations in ginseng efficacy
Gut microbiota population and diversity are greatly varied among individuals due to variations in genetics, diet, environment, and drug usage. Such variations cause great diversity in gut microbiota metabolic activity, particularly in biotransformation of ginsenoside into their more bioactive metabolites. Therefore, various gut microbial communities in individuals will have different pharmacological effects and therapeutic outcomes from ginseng supplementation (Zhao et al., 2023; Zhang, 2024). For example, some bacteria, including Bifidobacterium, have been reported to be responsible for higher ginsenoside conversion, thus enhancing the bioavailability and efficacy of ginseng (Dong et al., 2017; Seong et al., 2021).
6.2 Implications for population stratification and personalized medicine
Population stratification based on gut microbiota types can preclude the effect of ginseng and improve treatment strategies. Clinical evidence has shown that the efficacy of ginseng, for instance, in the modulation of metabolic syndrome, relies on the initial composition of the gut microbiota and enterotype. This makes it possible to apply gut microbiota analysis as a marker of ginseng efficacy prediction and tailored treatment strategies (Dong et al., 2017). Stratified medicine strategies that consider variation in gut microbiota potentially can improve clinical efficacy and reduce response heterogeneity to ginseng.
6.3 Application of gut microbiota interventions to optimize ginseng efficacy
Interventions targeting the gut microbiota, such as administration of probiotic, prebiotic, or fermented ginseng products, can modulate the gut environment in favor of beneficial bacteria involved in ginsenoside metabolism. These strategies were shown to enhance ginseng's pharmacological effects, restore gut microbial homeostasis, and improve disease status in animal models and clinics (Li et al., 2019; Chen et al., 2022; Peng et al., 2022). Probiotic fermentation technology and dietary supplementation of ginseng fiber are promising strategies to increase the production of bioactive ginseng metabolites and optimize therapeutic efficacy (Kim, 2017; Qu et al., 2020; Song et al., 2023) (Figure 2).
Figure 2 Ginseng shows its potential therapeutic effects on a variety of diseases through the regulation of gut microbiota in animal models (Adopted from Chen et al., 2022) |
7 Clinical Applications and Translational Prospects
7.1 Interactions between ginseng preparations and gut microbiota
Preparations of ginseng, i.e., fermented and polysaccharide-constituents-enriched preparations, also interact dynamically with the gut microbiota. The interactions enhance the bioactivation of ginsenosides to more active metabolites, increase richness in beneficial bacteria (e.g., Bifidobacterium, Bacteroides, and Akkermansia), and decrease pathogenic taxa. This regulation enhances metabolic, inflammatory, and neurological disease outcomes. Fermented ginseng foods, particularly, demonstrated improved activity in lipid metabolism regulation and gut microbe recovery in clinical trials and animal models (Seong et al., 2021; Iqbal et al., 2024; Zhou et al., 2025).
7.2 Development of combination therapies with microbiota modulators
Synergistic interaction with microbiota-altering interventions such as probiotics, prebiotics, or fecal microbiota transplantation can synergistically enhance therapeutic effects. For example, co-administration of ginseng polysaccharides with immunotherapy (anti-PD-1) improves antitumor efficacy by reshaping gut microbiota and converting central microbial metabolites. Ginseng fermented food and ginseng dietary fiber are also prebiotics, having further healthy effects on the gut and enhancing the pharmacological effect of ginseng to the maximum (Huang et al., 2021; Zhou et al., 2021; Song et al., 2023).
7.3 Drug interactions and safety assessments
Gut microbiota can potentially modify pharmacokinetics and pharmacodynamics of ginseng and thus affect drug interactions and safety. Individual difference in microbiota composition may induce differences in response or side effects. Although ginseng generally is well tolerated, the administration of probiotics or fermentation technology to enhance the bioavailability of ginsenosides needs rigorous safety and efficacy testing. Clinical trials indicate ginseng interventions to be safe in the general population but more work is needed to establish long-term safety, especially with combinations and in people with disrupted microbiota (Zhao et al., 2023; Wu et al., 2024; Zhang et al., 2024).
8 Concluding Remarks
Cumulative evidence is demonstrated to demonstrate that gut microbiota is implicated in modulating the pharmacokinetics (PK) and pharmacodynamics (PD) of ginseng. Gut microbiota is subjected to biotransformation by enzymatic biotransformation with ginsenosides and other structurally related compounds into metabolites with greater bioavailability and pharmacological activity, e.g., compound K. Microbial-mediated conversions have direct effects on systemic exposure, tissue distribution, and therapeutic effect of ginseng. Moreover, cross-talk between host immune, metabolic, and signaling pathways and microbial metabolites provides mechanistic insights into the heterogeneity of ginseng's multifaceted health benefits at a basic level.
The intimate connection between gut microbiota structure and ginseng response also underscores the necessity for personalized medicine. Variations in microbial diversity, core taxa abundance, and metabolic potential may lead to unprecedented variability in PK profiles and pharmacological activity across individuals. Comprehension of these discrepancies is central to the transition towards precision herbal medicine wherein preparation and dosing of ginseng can be individualized based on the microbial and metabolic pattern of the patient. Such individualized methods could possibly achieve more therapeutic impact with less variation and side effect.
Follow-up research would have to involve multi-omics strategies, i.e., metagenomics, metabolomics, and transcriptomics, to determine the complex networks interacting between ginseng components, microbial metabolites, and host reactions. Microbiota profiling clinical trials will be required to define microbial biomarkers of predictive ginseng efficacy. Microbiota-directed therapies, i.e., probiotics, prebiotics, or engineered microbial consortia, might enhance ginseng bioactivity and quality in the clinic as well. Lastly, the addition of microbiota-based strategies to traditional pharmacological understanding will aid in developing more efficient, effective, and sustainable applications of ginseng in modern medicine.
Acknowledgments
The authors sincerely thank the research team for their support and assistance during the conduct of the study and the organization of related materials. The authors also thank the two anonymous peer reviewers for their valuable comments and suggestions during the review process.
Conflict of Interest Disclosure
The authors affirm that this research was conducted without any commercial or financial relationships that could be construed as a potential conflict of interest.
Chen Z., Zhang Z., Liu J., Qi H., Li J., Chen J., Huang Q., Liu Q., Mi J., and Li X., 2022, Gut microbiota: therapeutic targets of ginseng against multiple disorders and ginsenoside transformation, Frontiers in Cellular and Infection Microbiology, 12: 853981.
https://doi.org/10.3389/fcimb.2022.853981
Chetty A., and Blekhman R., 2024, Multi-omic approaches for host-microbiome data integration, Gut Microbes, 16(1): 2297860.
https://doi.org/10.1080/19490976.2023.2297860
Daliri E., Ofosu F., Chelliah R., Lee B., and Oh D., 2021, Challenges and perspective in integrated multi-omics in gut microbiota studies, Biomolecules, 11(2): 300.
https://doi.org/10.3390/biom11020300
Dong W., Xuan F., Zhong F., Jiang J., Wu S., Li D., and Quan L., 2017, Comparative analysis of the rats' gut microbiota composition in animals with different ginsenosides metabolizing activity, Journal of Agricultural and Food Chemistry, 65(2): 327-337.
https://doi.org/10.1021/acs.jafc.6b04848
Dong X.J., 2024, Pharmacological effects of aromatic medicinal plants: comprehensive analysis of active ingredients and mechanisms of action, Medicinal Plant Research, 14(1): 11-30.
https://doi.org/10.5376/mpr.2024.14.0002
Duan D., Wang M., Han J., Li M., Wang Z., Zhou S., Xin W., and Li X., 2025, Advances in multi-omics integrated analysis methods based on the gut microbiome and their applications, Frontiers in Microbiology, 15: 1509117.
https://doi.org/10.3389/fmicb.2024.1509117
Hong J., Lee M., Yoon S., Shin S., Bang C., Baik G., Kim D., Youn G., Shin M., Ham Y., Suk K., and Kim B., 2020, Effect of Korean red ginseng on nonalcoholic fatty liver disease: an association of gut microbiota with liver function, Journal of Ginseng Research, 45(3): 316-324.
https://doi.org/10.1016/j.jgr.2020.07.004
Huang J., Liu D., Wang Y., Liu L., Li J., Yuan J., Jiang Z., Jiang Z., Hsiao W., Liu H., Khan I., Xie Y., Wu J., Xie Y., Zhang Y., Fu Y., Liao J., Wang W., Lai H., Shi A., Cai J., Luo L., Li R., Yao X., Fan X., Wu Q., Liu Z., Yan P., Lu J., Yang M., Wang L., Cao Y., Wei H., and Leung E., 2021, Ginseng polysaccharides alter the gut microbiota and kynurenine/tryptophan ratio, potentiating the antitumour effect of anti-programmed cell death 1/programmed cell death ligand 1 (anti-PD-1/PD-L1) immunotherapy, Gut, 71(4): 734-745.
https://doi.org/10.1136/gutjnl-2020-321031
Hyun S., Kim S., Seo H., Youn S., Kyung J., Lee Y., In G., Park C., and Han C., 2020, Physiological and pharmacological features of the non-saponin components in Korean Red Ginseng, Journal of Ginseng Research, 44(4): 527-537.
https://doi.org/10.1016/j.jgr.2020.01.005
Iqbal H., Kim Y., Jin M., and Rhee D., 2024, Ginseng as a therapeutic target to alleviate gut and brain diseases via microbiome regulation, Journal of Ginseng Research, 49(1): 12-21.
https://doi.org/10.1016/j.jgr.2024.04.005
Ji X., Hou C., Shi M., Yan Y., and Liu Y., 2020, An insight into the research concerning Panax ginseng C.A. Meyer polysaccharides: a review, Food Reviews International, 38(6): 1149-1165.
https://doi.org/10.1080/87559129.2020.1771363
Kim D., 2017, Gut microbiota-mediated pharmacokinetics of ginseng saponins, Journal of Ginseng Research, 42(3): 255-263.
https://doi.org/10.1016/j.jgr.2017.04.011
Liang W., Zhou K., Jian P., Chang Z., Zhang Q., Liu Y., Xiao S., and Zhang L., 2021, Ginsenosides improve nonalcoholic fatty liver disease via integrated regulation of gut microbiota, inflammation and energy homeostasis, Frontiers in Pharmacology, 12: 622841.
https://doi.org/10.3389/fphar.2021.622841
Li S., Qi Y., Chen L., Qu D., Li Z., Gao K., Chen J., and Sun Y., 2019, Effects of Panax ginseng polysaccharides on the gut microbiota in mice with antibiotic-associated diarrhea, International Journal of Biological Macromolecules, 124: 931-937.
https://doi.org/10.1016/j.ijbiomac.2018.11.271
Lin L., Tang R., Liu Y., Li Z., Li H., and Yang H., 2024, Research on the anti-aging mechanisms of Panax ginseng extract in mice: a gut microbiome and metabolomics approach, Frontiers in Pharmacology, 15: 1415844.
https://doi.org/10.3389/fphar.2024.1415844
Park J., 2024, Metabolism and drug interactions of Korean ginseng based on the pharmacokinetic properties of ginsenosides: current status and future perspectives, Journal of Ginseng Research, 48(3): 253-265.
https://doi.org/10.1016/j.jgr.2024.02.003
Peng M., Wang L., Su H., Zhang L., Yang Y., Sun L., Wu Y., Ran L., Liu S., Yin M., Li S., and Chunyu W., 2022, Ginsenoside Rg1 improved diabetes through regulating the intestinal microbiota in high-fat diet and streptozotocin-induced type 2 diabetes rats, Journal of Food Biochemistry, 46(8): e14321.
https://doi.org/10.1111/jfbc.14321
Qu Q., Yang F., Zhao C., Liu X., Yang P., Li Z., Han L., and Shi X., 2020, Effects of fermented ginseng on the gut microbiota and immunity of rats with antibiotic-associated diarrhea, Journal of Ethnopharmacology, 259: 113594.
https://doi.org/10.1016/j.jep.2020.113594
Ratan Z., Haidere M., Hong Y., Park S., Lee J., Lee J., and Cho J., 2020, Pharmacological potential of ginseng and its major component ginsenosides, Journal of Ginseng Research, 45(2): 199-210.
https://doi.org/10.1016/j.jgr.2020.02.004
Ren T., Liu F., Wang D., Li B., Jiang P., Li J., Li H., Chen C., Wu W., and Jiao L., 2022, Rhamnogalacturonan-I enriched pectin from steamed ginseng ameliorates lipid metabolism in type 2 diabetic rats via gut microbiota and AMPK pathway, Journal of Ethnopharmacology, 292: 115862.
https://doi.org/10.1016/j.jep.2022.115862
Seong E., Bose S., Han S., Song E., Lee M., Nam Y., and Kim H., 2021, Positive influence of gut microbiota on the effects of Korean red ginseng in metabolic syndrome: a randomized, double-blind, placebo-controlled clinical trial, EPMA Journal, 12(2): 177-197.
https://doi.org/10.1007/s13167-021-00243-4
Song H., Lee J., Yi S., Kim W., Kim Y., Namgoong B., Choe A., Cho G., Shin J., Park Y., Kim M., and Cho S., 2023, Red ginseng dietary fiber shows prebiotic potential by modulating gut microbiota in dogs, Microbiology Spectrum, 11(5): e00949-23.
https://doi.org/10.1128/spectrum.00949-23
Wang D., Shao S., Zhang Y., Zhao D., and Wang M., 2021, Insight into polysaccharides from Panax ginseng C. A. Meyer in improving intestinal inflammation: modulating intestinal microbiota and autophagy, Frontiers in Immunology, 12: 683911.
https://doi.org/10.3389/fimmu.2021.683911
Wang L., Shao L., Huang S., Liu Z., Zhang W., Hu K., and Huang W., 2023, Metabolic characteristics of ginsenosides from Panax ginseng in rat feces mediated by gut microbiota, Journal of Pharmaceutical and Biomedical Analysis, 237: 115786.
https://doi.org/10.1016/j.jpba.2023.115786
Won H., Kim H., Park T., Kim H., Jo K., Jeon H., Ha S., Hyun J., Jeong A., Kim J., Park Y., Eo Y., and Lee J., 2018, Non-clinical pharmacokinetic behavior of ginsenosides, Journal of Ginseng Research, 43(3): 354-360.
https://doi.org/10.1016/j.jgr.2018.06.001
Wu Y., Liu S., Ren T., Luo L., Luo J., Zhang M., Li F., Dai Y., Zheng F., Pi Z., and Yue H., 2024, Ginseng fermentation solution affects the gut microbiota in zebrafish with alcoholic liver disease via PI3K/Akt pathway, Phytomedicine, 128: 155495.
https://doi.org/10.1016/j.phymed.2024.155495
Zhang X., 2024, Breeding high-yield and disease-resistant carrot varieties using marker-assisted selection, International Journal of Horticulture, 14(4): 263-274.
https://doi.org/10.5376/ijh.2024.14.0028
Zhang X., Khakisahneh S., Han S., Song E., Nam Y., and Kim H., 2024, Ginseng extracts improve circadian clock gene expression and reduce inflammation directly and indirectly through gut microbiota and PI3K signaling pathway, NPJ Biofilms and Microbiomes, 10: 39.
https://doi.org/10.1038/s41522-024-00498-5
Zhao C., Qu Q., Yang F., Li Z., Yang P., Han L., and Shi X., 2021, Monascus ruber fermented Panax ginseng ameliorates lipid metabolism disorders and modulates gut microbiota in rats fed a high-fat diet, Journal of Ethnopharmacology, 278: 114300.
https://doi.org/10.1016/j.jep.2021.114300
Zhao L., Sui M., Zhang T., and Zhang K., 2023, The interaction between ginseng and gut microbiota, Frontiers in Nutrition, 10: 1301468.
https://doi.org/10.3389/fnut.2023.1301468
Zhou Q., Yang C., Jia M., Qu Q., Peng X., Ren W., Li G., Xie Y., Li B., and Shi X., 2025, Gut microbiota-targeted intervention of hyperlipidemia using Monascus-fermented ginseng, Pharmaceuticals, 18(5): 661.
https://doi.org/10.3390/ph18050661
Zhou R., He D., Xie J., Zhou Q., Zeng H., Li H., and Huang L., 2021, The synergistic effects of polysaccharides and ginsenosides from American ginseng (Panax quinquefolius L.) ameliorating cyclophosphamide-induced intestinal immune disorders and gut barrier dysfunctions based on microbiome-metabolomics analysis, Frontiers in Immunology, 12: 665901.
https://doi.org/10.3389/fimmu.2021.665901
.png)
. PDF(557KB)
. FPDF(win)
. FPDF(mac)
. HTML
. Online fPDF
Associated material
. Readers' comments
Other articles by authors
. Ziyi Dong
. Baofu Huang
Related articles
. Panax spp.
. Gut microbiota
. Pharmacokinetics
. Pharmacodynamics
. Personalized medicine
Tools
. Email to a friend
. Post a comment
.png)
.png)